聚氯乙烯分子中存在的缺陷结构
聚氯乙烯(Polyvinyl chloride),简称PVC,是世界上产量第三大的合成聚合物塑料(仅次于聚乙烯和聚丙烯)。PVC是氯乙烯单体在过氧化物,偶氮化合物等引发剂或在光热作用下按自由基聚合反应机理聚合而成的聚合物。PVC受聚合工艺和后处理过程中多种因素的影响, PVC 分子中往往存在缺陷结构,如支化、头-头结构、不饱和双键(末端双键、内部双 键、共轭双键等) 、不稳定氯等,如果缺陷结构较多则PVC树脂容易发生降解,影响材料使用寿命。本篇文章就详细介绍一下聚氯乙烯分子中可能会存在的缺陷结构。
氯乙烯单体的聚合反应与乙烯单体一般是按自由基机理进行的,一般包括链的引发、
增长和终止三个阶段。
按有规则的头尾结合方式,链结构正常应为:

PVC聚合在链转移阶段会由支化形成的叔氯和叔氢结构
叔氯结构


当聚合反应发生终止反应时,当两个正在生长的自由基通过直接偶合反应,使聚合反应终止,可能形成α、β的双氯结构或乙烯基结构或称头一头或尾一尾结构。
头一头
结构


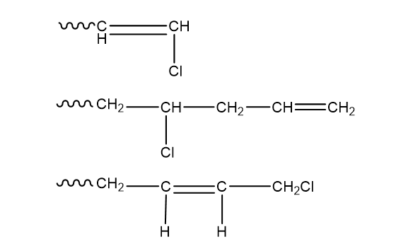
偶合反应不是唯一的终止形式,歧化反应,链转移反应如向单体、聚合物、引发剂、溶剂或聚合体系中的其他成分的转移,也会生成端基双键或链内的双键缺陷结构。

端基为二氯末端结构

以上均为聚乙烯分子中常见的缺陷结构。
[1] 孙培培,侯斌,李静等.PVC缺陷结构与热稳定性的关系[J].聚氯乙烯, 2021, 49(04): 19-21.
[2] 吴崇周.聚氯乙烯的缺陷结构及稳定剂的复合原理[J].塑料助剂,1999,(06):17-22.
文字:小魔方
迎关注,共同探讨交流!


创建时间:2026-01-15 13:49
넶浏览量:0


